CQC. Combinaison modale des résultats
Comment combiner les valeurs maximales des réponses modales (Ri) pour déterminer la valeur maximale probable de la réponse sismique totale (R) ? Il n'est pas possible de déterminer la valeur exacte de R à partir des valeurs de Ri car, en général, les réponses modales atteignent leur maximum à des instants différents, qui ne coïncident pas non plus avec l'instant où la réponse combinée R atteint son maximum.
Il existe différentes méthodes pour obtenir une approximation de la combinaison des réponses modales maximales. Certaines de ces méthodes sont la somme absolue (Absolute Sum - ABSSUM), la racine carrée de la somme des carrés (Square Root of Sum of Squares – SRSS) ou la combinaison quadratique complète (Complete Quadratic Combination - CQC). Nous détaillerons cette dernière, qui est celle que nos logiciels appliquent.
Combinaison quadratique complète (CQC)
La règle de combinaison CQC [1] est définie comme suit :

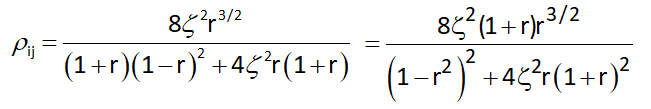
Où le coefficient de corrélation ou de simultanéité :

Où :
, le rapport entre les périodes des modes « i » et « j »
ζ : rapport d'amortissement (nous supposons qu'il est le même pour tous les modes)
R : réponse (effort, déplacement, réaction, etc.) combinée résultante
Ri, Rj : réponse (effort, déplacement, réaction, etc.) correspondant aux modes « i » et « j »
Quelques points concernant la combinaison quadratique complète sont donnés ci-dessous.
Les termes de la double somme dans la racine de l'équation [Eq. 1] peuvent être positifs ou négatifs, selon que les réponses modales correspondantes ont le même signe ou le signe opposé.
Le coefficient de corrélation ρij tient compte de la distribution des fréquences naturelles de la structure, qu'elles soient bien différenciées ou non. Ce coefficient prend des valeurs comprises entre 0 et 1. Plus les périodes ou les fréquences de deux modes sont proches, c'est-à-dire lorsque r tend vers 1, plus la valeur de ρij tend vers 1. En revanche, la valeur de ρij diminue rapidement lorsque les fréquences s'éloignent l'une de l'autre.
Le résultat de la combinaison CQC est positif. Dans nos logiciels, une fois la combinaison effectuée, nous appliquons le signe de la réponse modale dominante à la valeur R combinée.
Combinaison linéaire équivalente
La règle CQC peut être appliquée comme une combinaison linéaire équivalente. Dans les logiciels CYPE, la formulation proposée par Katz [2] est appliquée à cette fin :
, où 
Cette façon équivalente d'appliquer la règle CQC permet de gérer la concomitance des résultats sismiques.
Il n'est pas nécessaire que toutes les réponses maximales se produisent en même temps. Ceci est important pour certaines vérifications, telles que la « Vérification des sollicitations normales d'une section », où N, Mx et My sont impliqués. Selon le cas, le maximum de tous les efforts agissant en même temps peut conduire à une solution non économique ou même incorrecte, car le scénario le plus défavorable ne doit pas nécessairement se produire pour le maximum des trois efforts.
CYPE applique cette considération à la concomitance des résultats sismiques avec un maximum donné, ce qui se reflète dans l'expansion des combinaisons sismiques dans nos logiciels.
Références
[1] Der Kiureghian, Divers.
[2] C. Katz. “Anmerkung zur Überlargerung von Antwortspektren”. D-A-CH Mitteilungsblatt, 2009.