Diferencias entre el análisis modal espectral para el cálculo no lineal y el análisis modal de vibraciones
Cómputo de la masa sísmica
En el caso del análisis modal espectral, para computar la masa sísmica de la estructura, se analizan las cargas de naturaleza gravitatoria que actúan sobre la misma en una determinada combinación no lineal y se considera el 100 % del peso propio y de la carga muerta, y el porcentaje de las sobrecargas de uso y de nieve que se considere como permanente, el cual se establece en el panel de sismo del programa.
Para el análisis modal de vibraciones, se considera que, a efectos de masa, solamente contribuyen las cargas de naturaleza gravitatoria que intervienen en el caso de carga analizado y lo harán con los coeficientes de combinación de dicho caso.
Dirección en la que actúan las masas
En el análisis modal de vibraciones, para cada caso de carga, se debe definir la dirección en la que actúan las masas. El programa ofrece las siguientes opciones:

Con la primera opción, las masas actúan en las direcciones globales traslacionales X e Y, y en rotación sobre el eje global Z. Con la segunda, las masas actúan en la dirección global traslacional Z, y en rotación sobre los ejes globales X e Y.
Estos ajustes modifican la matriz de masas, obteniéndose diferentes formas y frecuencias modales según la selección marcada.
En el análisis modal-espectral, el programa analiza un modelo en el que se ha considerado la masa en todas las direcciones traslacionales y rotacionales, situación equivalente a marcar ambas opciones. Una vez calculados los modos, se aplica un filtro con el cual el programa solamente se queda con aquellos modos que movilizan masa según los grados de libertad traslacionales X e Y y el grado de libertad rotacional Z. Se procede de esta manera para conseguir una analogía entre el cálculo modal espectral lineal y el no lineal, ya que en el análisis lineal de CYPE 3D el programa condensa los grados de libertad para considerar solamente los grados de libertad traslacionales X e Y.
Escalado de las formas modales
En el análisis modal de vibraciones, para cada modo, el programa representa una forma modal escalada {φ} de manera que el desplazamiento global máximo de la misma sea igual a 1:


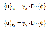
En el análisis modal-espectral, para cada hipótesis de sismo considerada, la forma modal se multiplica por un factor de modo, de manera que la deformada modal es:

Siendo:
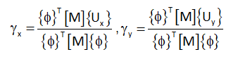
γi: factor de participación modal en la dirección “i”:

Donde {Ux} y {Uy} son vectores, de dimensión igual a los GDL del modelo dinámico, con todas sus componentes nulas excepto aquellas según los grados de libertad en la dirección traslacional X e Y respectivamente, que serán iguales a la unidad, y [M] es la matriz de masas.
D: desplazamiento espectral del modo
D = A/ω2, siendo
A: aceleración espectral del modo
ω = 2π/T, donde T es el periodo del modo
{φ}: forma modal (autovector)
Estas deformadas elásticas, {u}SX y {u}SY, serán multiplicadas por el factor de ductilidad o de desplazamientos correspondiente para considerar el desplazamiento inelástico.