Nuevo Metal 3D incorpora en su nuevo módulo Uniones I. Soldadas. Naves con perfiles laminados y armados en doble T, de la versión 2008.1, el cálculo y dimensionamiento de uniones soldadas de perfiles “doble T” (incluidas las placas de anclaje) para las normas CTE. DB SE-A, Eurocódigo 3 y NBR 8800:2006 (Brasil) cuyas tipologías se especifican a continuación.
Tipologías de uniones implementadas
Dimensionamiento de uniones
Si durante el proceso de cálculo de la estructura se detectan nudos cuya unión está resuelta en el programa, éste dimensionará las uniones y dará como resultado un plano de detalle de la misma.
El programa dimensionará en las uniones los espesores de garganta de las soldaduras y longitud de las mismas, e incorporará rigidizadores en el caso de que sean necesarios para la transmisión de tensiones en la unión.
Los esfuerzos transmitidos al cordón de soldadura por unidad de longitud se descomponen en cada una de las componentes de tensión normal y tangencial al plano de la garganta, suponiendo que la distribución de tensiones es uniforme a lo largo de él.
Según el CTE DB SE-A en su art. 8.6.2, la soldadura es suficiente si cumple:

Donde:
: Tensión normal perpendicular al plano de la garganta.
: Tensión tangencial perpendicular al eje del cordón.
: Tensión tangencial paralela al cordón.
: Resistencia última a tracción de la pieza más débil de la unión.
: Coeficiente de correlación.
: Coeficiente de seguridad parcial (1.25)
El espesor de las soldaduras en ángulo será como mínimo 4 mm. Y no será mayor que 0.7 veces el espesor menor de las piezas a unir.
El programa descompondrá los esfuerzos del nudo, determinando las tensiones en cada uno de los cordones de soldadura de la unión, debiendo verificarse en cada uno de ellos la relación anterior.
En el caso de una unión empotrada se obtienen tres tipos de cordones distintos.
El programa determinará las características mecánicas de los cordones de soldadura.



Para el cálculo de las tensiones tangenciales debido a los esfuerzos cortantes, el programa, en el caso del cortante horizontal, lo distribuirá entre los cordones 1 y 2 de forma proporcional a su área resistente. En cambio, el cortante vertical lo deben resistir los cordones 3.
El torsor se descompone en un par de fuerzas que incrementan o disminuyen las tensiones tangenciales en los cordones 1 y 2, en función del signo de este.
Una vez obtenidas las tensiones normales y tangenciales en cada cordón deberá verificarse en cada uno de ellos la siguiente relación:
Consulta de uniones
Tras el cálculo podrá consultar las uniones que han sido dimensionadas por el programa mediante las opciones Analizar y Consultar del menú Uniones.
Analizar
Calcula y dimensiona las uniones que pueden ser resueltas por el programa. Al final muestra un informe por pantalla que indica el número de nudos resueltos y no resueltos.
Consultar
Al activar esta opción, aparece un círculo sobre los nudos de la estructura en diferentes colores:
- Verde: Todas las uniones del nudo han sido dimensionadas.
- Naranja: Se han dimensionado algunas de las uniones del nudo.
- Rojo: No se ha podido dimensionar ninguna de las uniones del nudo.
Si se acerca a un nudo en el que hay uniones dimensionadas se mostrará un bocadillo informativo en el que se indican los tipos de uniones dimensionadas asociadas a dicho nudo, pulsando sobre él se muestra un diálogo con tres solapas que contienen la siguiente información:
- Los detalles constructivos de las uniones resueltas

Si pulsa sobre un nudo en el que no se ha dimensionado ninguna unión, el programa mostrará una vista 3D con las barras que llegan a la unión para poder ver si hay alguna interferencia entre ellas de tal forma que no se pueda resolver la unión.
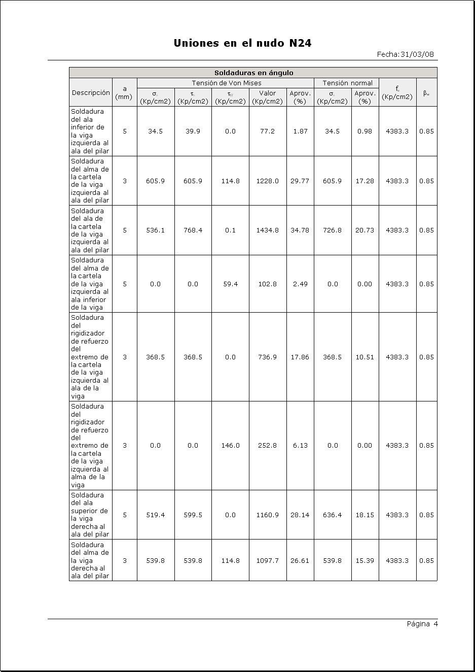
Listados de uniones
A los listados disponibles tras el cálculo, se ha incorporado el listado de uniones. Este listado ofrece los siguientes datos:
- Especificaciones de las uniones soldadas
- Norma
- Materiales
- Disposiciones constructivas
- Comprobaciones
- Referencias y simbología
- Comprobaciones en placas de anclaje
- Relación de uniones listadas
- Memoria de cálculo
- Detalle constructivo de cada tipo de unión
- Resultados de comprobaciones de cada tipo de unión
- Medición de soldaduras y chapas por cada tipo de unión
- Medición conjunta de soldaduras y chapas de todas las uniones dimensionadas
Planos de uniones
Los detalles constructivos de las uniones calculadas y dimensionadas por el programa pueden formar parte de los planos de la estructura gracias al nuevo tipo de planos Uniones. Los planos de Uniones incluyen los siguientes elementos:
- Detalle constructivo de la unión
- Cuadro con especificaciones de las uniones soldadas en estructura metálica
- Norma
- Materiales
- Disposiciones constructivas
- Comprobaciones
- Cuadro de referencias y simbología
- Cuadro de medición conjunta de soldaduras y chapas de todas las uniones dimensionadas













































